PxPixel
GNC Protein Clinical Studies: Industry Leading | GNC

GNC

Learn > Why Trust GNC > GNC Protein Clinical Studies: Industry Leading

Last Updated: December 8, 2025

GNC Protein Clinical Studies: Industry Leading

By Brittany Johnson |
img
Brittany Johnson PhD, MS, RDN, CSSD
image

Share With Others!

I joined GNC’s Scientific Affairs team almost three years ago, coming from an academic research background. I was quickly impressed with the long history of clinical studies the company invested in over the years. With a PhD in Health and Human Performance, I took a particular affinity to GNC’s protein and performance research. This is when I found our leucine-rich protein blend, a unique protein powder formula, setting a different standard in the protein industry. GNC has a long history of conducting clinical studies with whey protein since 2002!

Key Takeaways:

  • GNC has conducted over a dozen clinical trials using whey protein formulas
  • Ten studies have been published in peer-reviewed journals
  • GNC has been testing protein formulas for more than two decades
  • Science, research, and innovation are the guiding principles for product formulations

Completing clinical trials is not a required industry standard, and very few supplement brands are putting their whey protein to the ultimate test. As I was diving into the history of GNC’s protein studies, I was surprised by the number of randomized -clinical trials (RCT), the gold-standard in scientific research. Each of these studies answered different questions, such as how a whey-leucine supplement would improve Air Force fitness tests or how a small dose of whey and leucine would improve anabolic (muscle- building) markers. While not all of them were successful, that’s why we run clinical studies… to have the confidence in our product formulas. Across these clinical studies, our team of scientists and dietitians continued to develop formulas proven to perform. What really sets GNC apart is the passion and commitment to providing the highest quality and proven products. Millions of dollars have been invested over the years to better understand how our formulas improve health, fitness, and performance for consumers. 

We’ve invested in over a dozen university-led clinical trials to quantify the impact of protein supplementation. If it failed the test, we didn’t move forward with the product formula.

Not only did GNC complete a dozen clinical studies, but ten of those trials have been published in peer-reviewed journals, the highest honor in scientific research. Let’s take a journey back to the early 2000s when GNC kicked off its first protein clinical study that would become GNC’s #1 selling protein powder, Wheybolic, and a staple of clinical research at GNC.

Protein Performance Clinical Studies Begin

The early 2000s marked the beginning of performance research with whey protein supplements. In 2002, a recovery formula containing whey protein, amino acids, creatine, and carbohydrates was tested compared with an isocaloric, carbohydrate-only drink to determine its impact on muscle mass, strength, and anaerobic performance. The results….

Both groups gained fat-free mass and strength.

In a 10-week strength training program, 41 men participated in the study. Both groups gained fat-free mass (FFM), but the supplement group showed a trend towards slightly higher gains. However, no significant differences in strength, endurance, or performance were observed between the groups, likely indicating the additional calories from both the supplement and placebo plus resistance training supported these improvements.

Read the peer-reviewed published paper here.

Our First Ever Leucine-Whey Clinical Study: Increased muscle strength by 30% significantly compared to placebo.

While not exactly the outcome expected, GNC’s scientists went back to the drawing board and created an innovative leucine-whey protein blend that would revolutionize our protein powder. With background knowledge of protein supplements and the role of leucine, GNC had researchers test a new leucine-rich protein blend. The first clinical study tested how the supplement would potentially increase muscle strength, endurance, and size for a trained and untrained leg. The results…success!

In an 8-week study conducted at the University of Nebraska, 33 healthy men took either the leucine-whey protein blend, an isocaloric carbohydrate placebo before and after resistance training, or did not exercise or consume a supplement or placebo. Subjects in the leucine-whey group had greater increases in muscle strength compared to placebo. The leucine-whey protein supplementation group also increased muscle size from baseline.

Read the peer-reviewed published paper here.

And Wheybolic was born! An anabolic, whey protein, do you get it? Beyond its clever name, rigorous clinical trials continued over the next decade with this leucine-rich whey protein blend! It didn’t disappoint.

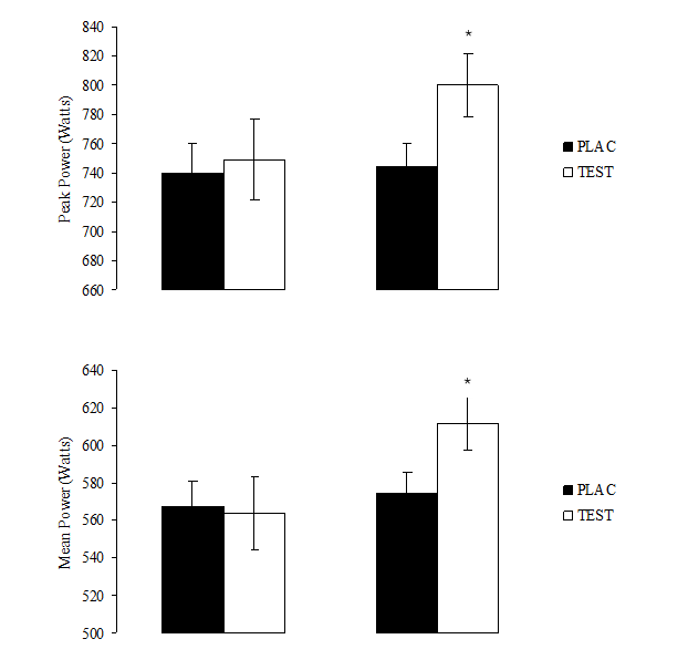
Shortly after the initial Wheybolic study, a power study was conducted. The study product slightly differed, using more of a mass gainer type of formula which included 26 g of whey protein with 4.65 grams of additional free amino acids, 75 grams carbohydrates, 5 grams of creatine, and 250 mg ribose compared to a carbohydrate-only placebo. They tested anaerobic capacity (think sprinting), muscle strength and endurance, and body composition. The results…..

Power in the Pedal: Increased total power by 9% significantly compared to 1% in the placebo group.

Fifty-one young men participated in this study, performing strength exercises and Wingate (anaerobic test) before and after the 10-week program. A Wingate test consists of peddling on a cycle ergometer at maximum output against a fixed resistance for 30 seconds.  The amount of total power produced during this time is recorded in watts. The supplement group outperformed the placebo group for power!

Read the peer-reviewed published paper here.

Wheybolic becomes the Whey in Clinical Studies

The next study using the successful leucine-rich protein blend investigated how this blend might support detraining. Detraining refers to the loss of performance from reducing or stopping a regular training routine. This can lead to decreased muscle strength, endurance, and overall performance. Athletes need to prevent detraining to maintain peak condition, avoid setbacks, and stay competitive in their sport, especially if recovering from an injury. So of course, GNC wanted to know if our anabolic protein powder could assist! Here’s what we found….

In a 20-week study, during the first 4 weeks, 14 adult males participated in 3 days per week of resistance training, then one day per week during weeks 4 to 8, and no training during weeks 8-20. They took either the leucine-whey protein blend or a carbohydrate placebo only during weeks 4 to 8 during the 20-week study. At the end of the 20-week study, there was no difference between the groups. This really shows the importance of consistent training and supplementation for maintaining or improving performance.  

A peer-reviewed abstract was published in the Journal of Strength and Conditioning Research, 2006, 20(4)

 

Now that our science team understood the leucine-whey blend was better suited with consistent intake, in partnership with the Air Force Research Lab, our anabolic blend was studied for a 3rd time but with half the dose as the first and second study! I was especially excited to read this study since tactical athletes hold a special place in my heart. Drumroll for the results…

Fit for Duty: A leucine-protein blend supplement increased push-up average by 5 and bench press weight.

In an 8-week study, 30 Air Force men performed 3 sets of 6-10 bench-press reps, in addition to standard PFT 3 times per week. They took either the leucine-whey protein supplement or a placebo. The supplement group saw significant improvements in bench-press strength, push-up performance, and increases in fat-free and lean body mass, while the placebo group did not. A half dose of the leucine-protein blend shows advantages for Air Force men for upper body strength and lean body mass.

Read the peer-reviewed published paper here.

With momentum, GNC continued to invest in proven performance, putting the leucine-whey protein blend through more clinical tests!

What was next…Can you work smarter, not harder? They nailed it!

 

Increase muscle performance with half the sets.

Over 8 weeks, 39 men were split into three groups: 1 set of training with supplementation, 1 set of training with a placebo, or 2 sets of training without a supplement. All groups led to similar improvements in strength and endurance for leg and bench press measures. If all groups were the same, what does this mean? The results quantified a single-set training with our leucine-rich protein blend was just as effective as two-sets of training for improving strength and fitness. The leucine-whey protein blend increased exercise efficiency by 100%. So do less, gain more!

 Read the peer-reviewed published paper here.

Always innovating, GNC tested a newer whey protein next. During 2008, two more RCTs investigated a bio-enhanced whey protein for amino acid absorption and a second study on muscle performance with a reduced training volume. These formulas didn’t quite make the cut since the results found similar muscle performance outcomes in both the supplement and placebo groups. However, the studies did help inform GNC on formulations. We are all about testing and learning!

In 2010, our classic whey-leucine protein blend was put to the test with older adults with half the dose and combined with 15 g carbs, calcium and vitamin D. Ninety-six older adults performed resistance and aerobic exercises with the supplement or placebo, but no significant changes in body composition or mobility were observed. However, upper body strength improved in those taking the supplement, and all participants showed better balance and lower body function, highlighting the benefits of regular exercise for older populations.

It should be noted here, theories on why the supplement group didn’t improve strength more is likely due to the training protocol being self-selected, meaning over the 12 weeks, the weight they were lifting did not increase. Progressively overloading the muscles is a critical component of developing strength. As a scientist I would want to conduct this study again but see if progressing the training would follow similar positive outcomes as the study in younger males.

Read the peer-reviewed published paper here.

Pivoting to understand the different mechanisms of whey-leucine, an acute study with a 10 g dose of leucine and a 10 g dose of whey was tested for hormone responses. In partnership with the University of Kansas, researchers found….

Significantly increased serum insulin 4x more compared to placebo.

In a randomized, double-blind crossover clinical, 20 active men performed leg exercises and took either the supplement or a placebo, with blood samples drawn post-exercise for insulin, glucose, and cortisol. Results showed that the whey and leucine supplement significantly increased insulin levels, which is an important factor in fueling muscle-building nutrient uptake.

A peer-reviewed abstract was published in the Journal of Strength and Conditioning Research, 2014, 28(pS1)

Present Day Protein Performance

If this wasn’t already an impressive record of clinical studies within a decade of time, this is ONLY in the protein category! GNC has conducted over 100 RCTs on various formulas ensuring our products are tested and backed by rigorous scientific research. Most recently in 2024, we finished the latest leucine-rich protein blend study. I am probably the most excited to share the results because it’s the most innovative approach we’ve taken in a clinical study and it’s going to lead the industry to a new norm! Read the study here.

While helping design the study with our team and the lead faculty researcher at the University of Nebraska, we wanted to truly understand how protein supplements are taken in a more real-life setting while keeping the rigor of an RCT. Remember how in earlier studies the leucine-rich whey protein blend was taken before and after exercise? Well, we know most consumers are not taking their protein before AND after…. So, here’s what we did….

During an 8-week study involving 39 males, participants either took the leucine-rich protein blend once daily, twice daily, or a placebo and combined it with a progressive resistance exercise program. What we found is the 1st ever clinically studied protein blend to show significant, and meaningful individual responses!

100% of individuals increased leg strength and endurance compared to twice daily and placebo groups. 

What made this approach innovative was analyzing individual responses to the intervention, rather than group averages.

Typical research statistical analysis answers the question “What supplement will produce the best average outcome when done by many individuals?”. We analyzed to answer “What supplement will produce the best outcome when performed by a specific individual?”.

This approach is innovative as it helps to account for individual differences, such as genetics, nutritional status, and other lifestyle factors. The once daily leucine-whey protein blend showed a statistically meaningful individual response, making it the first ever clinically studied protein blend to do so, guaranteeing your training days will pay off for leg strength and endurance!

GNC continues to lead the industry through cutting-edge clinical research. This shift will help create tailored health strategies that better meet the unique needs of each person, ultimately driving better outcomes and more successful nutrition and fitness products and outcomes.

Why is this relevant to you?

Looking across the protein powder landscape in the industry, I found very few clinically studied protein powders from other companies. While there is a large body of evidence within public domain research using generic whey protein supplements, I became even more impressed with GNC’s commitment to funding clinical studies with whey protein! Before you get too skeptical, these clinical studies were conducted in partnership with top-tier research institutions to reduce bias. The research faculty at these institutions are responsible for recruitment, study implementation, data collection, analysis, and interpreting results. Further, peer-reviewed published papers undergo rigorous quality control, with every aspect—from study design and execution to data analysis and reporting results being thoroughly evaluated and approved by expert reviewers. It’s 3rd party quality you can trust!

By conducting RCTs we have better determined how specific protein formulas, such as our staple leucine-rich whey protein blend performs when put to the ultimate test. These studies help consumers understand a protein supplement delivers benefits, such as helping your workouts pay off and increasing muscle strength, endurance, and size. This evidence-backed approach gives consumers confidence in choosing protein products that truly work, rather than relying on marketing claims alone. If a supplement product has a disclaimer describing the clinical study, then you know it’s not just another average protein powder.

Innovation and Continued Leadership in Performance Nutrition

GNC’s unique leucine-rich whey protein blend has emerged as a muscle performance leader in the protein supplement category due to the body of clinical research supporting its efficacy. To my knowledge, no other protein powder on the market has been studied as extensively in the industry. These clinical studies have set our leucine-rich whey protein blend apart in a crowded supplement space, establishing it as the premier choice for individuals looking to optimize their muscle strength and endurance.

With a long history of proven performance, our most recent study using our leucine-rich protein blend sets a new standard of innovation – understanding individual responses rather than group averages!

As research continues to advance, the future of leucine-rich whey protein looks promising, with new, personalized discoveries on the horizon. You’ll be seeing more of us in the very near future.

 Here at GNC, our science team is obsessed with the highest quality, clinically studied ingredients. Creating products proven to perform has been the core of GNC since 1935.
black-arrow
black-arrow